BS EN ISO 13849-2:2012
Safety of machinery — Safety- related parts of control systems Part 2: Validation

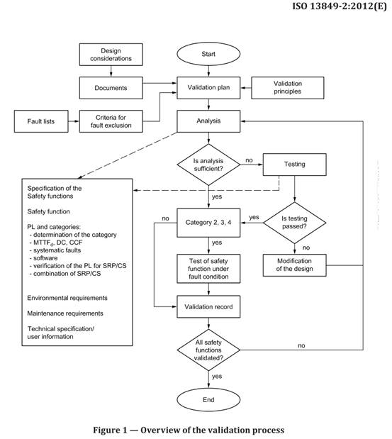
4.1   Validation principles
4.2   Validation plan
4.3   Generic fault lists
4.4   Specific fault lists
4.5   Information for validation
4.6   Validation record